문제
- https://leetcode.com/problems/longest-cycle-in-a-graph/
- 난이도: Hard
- 토픽: DFS, Graph, Topological sorting
그래프가 주어지면 그래프 내의 사이클중 제일 길이가 긴 사이클 길이를 구하는 문제이다.
접근방법
그래프에서 사이클을 감지하는 가장 간단한 알고리즘으로 Floyd의 거북이 & 토끼 알고리즘이 있다.
Floyd의 거북이 & 토끼 알고리즘
- 거북이와 토끼를 시작점에 놓고 거북이는 한 번에 1칸 움직이고, 토끼는 한 번에 2칸 움직인다.
- 그래프에 사이클이 있다면 토끼와 거북이는 어느 한 지점에서 반드시 만나게 된다.
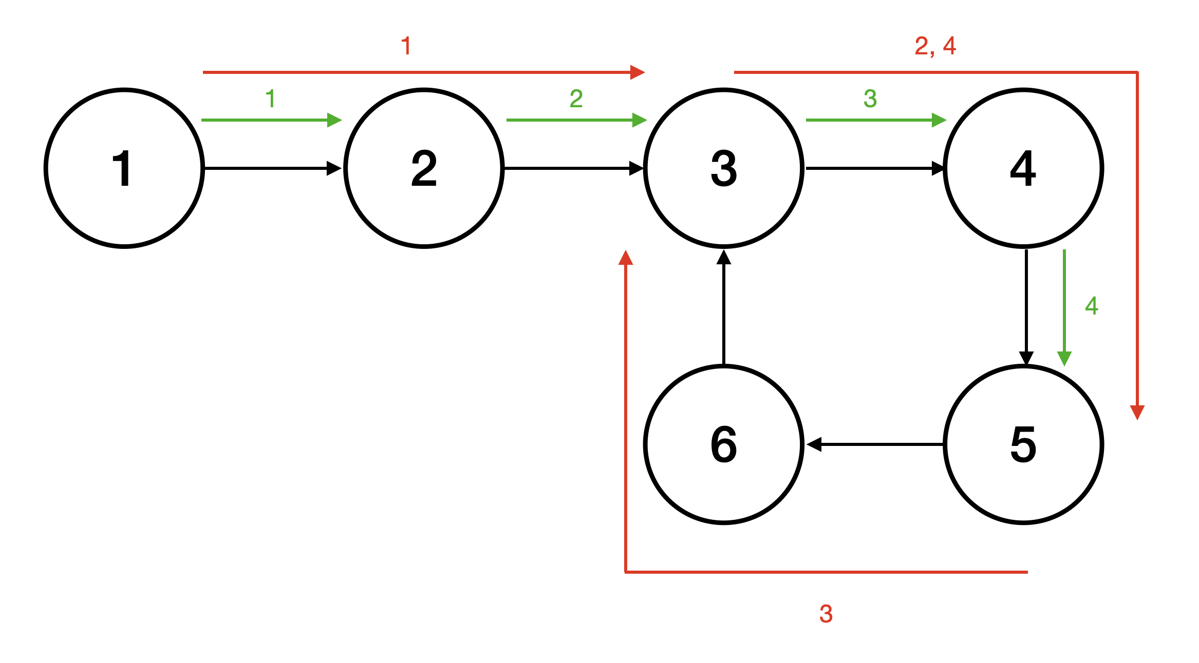
사이클을 감지하는 건 알겠는데, 어떻게 하면 사이클의 길이를 측정할 수 있을까?

위의 그래프에서 거북이와 토끼는 4번 이동하여 노드 5번에서 만나게 된다.
거북이와 토끼가 만나면 거북이를 다시 시작노드인 1로 이동시키고, 이제부터 거북이와 토끼를 한 칸씩 움직인다.
움직이기 시작하고 첫 번째로 거북이와 토끼가 만나는 지점이 바로 사이클의 시작점이다.
[증명]
L: 그래프의 시작점부터 사이클 시작점까지의 길이
n: 사이클의 순환 길이
x: 사이클 시작점으로부터 거북이가 이동한 길이(=사이클 시작점으로 부터 토끼와 만나는 노드의 길이)
c1, c2: 거북이가 사이클을 회전한 횟수, 토끼가 사이클을 회전한 횟수
거북이와 토끼가 만나는 시점에서
거북이가 이동한 길이는 L + c1 * n + x
토끼가 이동한 길이는 L + c2 * n + x 이다.
토끼는 거북이의 2배로 움직이므로
2(L + c1*n + x) = L + c2*n + x 이고, 이 식을 정리하면
L = (c2 - 2c1)n - x 이된다.
토끼가 사이클의 시작점으로 이동해야하는거리는 n - x
시작점으로 간 거북이가 사이클의 시작점으로 이동해야하는 거리는 L이다.
(c2 - 2c1)은 회전한 횟수이고, 사이클에서 아무리 회전해도 원점으로 돌아오므로 (c2 - 2c1) * n 은 n이다.
따라서 L = n - x 가 성립하므로, 거북이와 토끼는 사이클의 시작점에서 만나게 된다.
풀이
Floyd의 거북이 & 토끼 알고리즘을 사용한다.
class Solution:
def longestCycle(self, edges: List[int]) -> int:
answer = 0
visited = [False for _ in edges]
for start in range(len(edges)):
tortoise, hare = start, start
while tortoise >= 0 and hare >= 0 and edges[hare] >= 0 and not visited[tortoise]:
tortoise = edges[tortoise]
hare = edges[edges[hare]]
if tortoise == hare:
break
else:
continue # No Cycle
# Find Cycle Start Node
tortoise = start
while tortoise != hare:
tortoise = edges[tortoise]
hare = edges[hare]
visited[tortoise] = True
tortoise = edges[tortoise]
cycle_length = 1
while tortoise != hare:
tortoise = edges[tortoise]
visited[tortoise] = True
cycle_length += 1
answer = max(answer, cycle_length)
return answer if answer > 0 else -1
- 토끼와 거북이 알고리즘을 통해 사이클이 있는지 없는지 체크한다. 사이클이 없으면 continue로 다음 노드를 탐색한다.
(중요) 이미 방문했던 사이클 노드가 있으면 아래는 똑같은 연산을 반복하는것이기 때문에 더 이상 찾지 않고 다음 루프로 넘어간다. - 거북이를 시작점으로 다시 놓고 거북이 토끼를 한 칸씩 이동하면서 사이클 시작점을 찾는다.
- 시작점부터 시작해서 다시 시작점으로 돌아올때까지 사이클 길이를 구한다.
(중요) 사이클 노드마다 방문 체크를 해서 반복으로 똑같은 사이클 길이를 구하지 않도록 한다. - answer와 비교하며 최대 길이를 구한다.
'알고리즘 > LeetCode' 카테고리의 다른 글
| [LeetCode] Minimum Size Subarray Sum (2) | 2024.11.06 |
|---|---|
| [LeetCode] Validate Binary Search Tree (1) | 2024.10.29 |